티스토리 뷰
728x90
반응형

<개요>

최근 리스크님의 독서토론회 영상을 감명 깊게 보고 나서 '야 나도' 읽어볼래 ~ ㅋㅋㅋ 생각에 교보문고 전자도서관에 찾아봤는데 없더라.
꿩 대신 닭이라고 '미적분의 쓸모'라는 책을 읽어보기로 함.
수학의 쓸모 후속작이냐고??
→ ㄴㄴ 기존에 내가 보고 싶었던 책은 닉 폴슨, 제임스 스콧 저 외국도서였음.


한화택 교수님은 국민대 기계공학부 교수님 임.
확실히 글에서 공대느낌이 나긴 함. 최대한 쉽게 알려주시려고 한 건 알겠는데 읽다가 정말 많이 쉬었음. 내가 부족해서 그런 걸 수도 있지만...!!
잠깐 내 이야기를 하자면, 나는 수포자(수학 포기자) 이과생임.
??
아니 이과인데 수포자??
→ ㅇㅇ 심지어 수리도 나형으로 봄. 학창 시절 수학 못했고, 공부도 열심히 안 했고, 졸업하고도 수학 안 쓰는 계열이라 정말 1도 기억 안 남. 방정식도 가물가물함.
어쨌든 과거는 잊고, 주식 투자에 도움이 된다면야 뭐든 못할까?? 하는 마음으로 읽어보게 되었음.
<투자 연구 주제>
* 일단 미분의 개념부터 잡아보자.
1) 나무위키에서 쳐보자.

작을 미, 나눌 분. 한자어로 면을 층으로 쪼개서 나누고 각각을 '미세한 부분 → 미분'이라고 부르게 된 것이라고 함. 각각이 다르니까(Different) → 차이를 두다(Differentiation)로 뻗어나간 듯.

와... 여기서 바로 포기할뻔.
솔직히 1도 모르겠음. 저거 기호들 어떻게 부르는 건지도 모르겠음. 어떡하지??
→ 어떡하긴!! 어려운걸 미분해.
??
미세하게 나눠서 이해하기 쉬운 단위로 쪼개자.


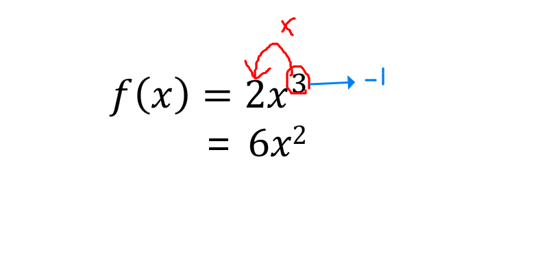
미분은 지수를 계수에 곱하고, 지수-1을 해주면 된다고 함.
이거는 일반화 한 설명이고, 구체적으로 보면.... 설명을 만들어 볼까 하다가
포기. 선택과 집중. 여기보면 설명 나옴. 굳이 내가 Maker 될 필요 없음.
2) 그래서 미분은 왜 생긴건데??
미분을 간단하게 한 단어로 정의하면 '변화'라고 함.
변화하는 세상을 수식으로 표현하고 계산하고 예측해 보기 위해 만든 거라고 함.

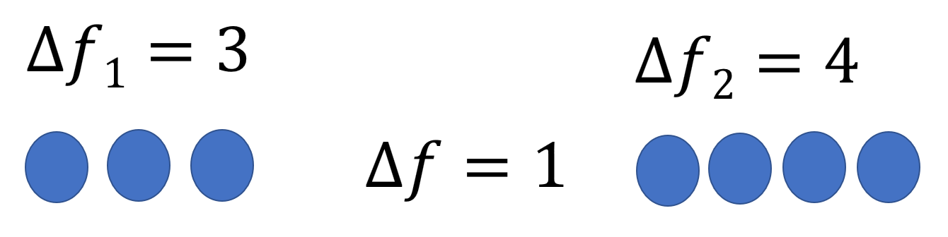
이런 식으로 변화한 양을 표시함. ∆(델타. delta. 두 값 간의 차이).

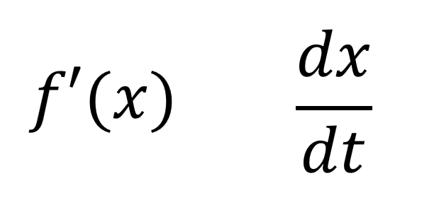
좌측은 y=f(x)를 미분하여 얻은 함수 f'(x) 값으로 도함수 값 or 미분 값이라고 한다고 함.
우측에 보이는 d는 미분할 대상을 가리키는 수학 기호이며, x를 t에 관하여 미분하라는 뜻이라고 함.
만약에 키가 크지만 더 이상 크지 않는 사람은(성장이 멈춘) 함수값(키 H)은 크지만 도함수값(dH/dt)이 작은 사람이라고 함. 분모가 시간이 지남에 따라 계속 늘어나서 작아지는 것.
→ 이 정도 난이도 딱 좋음.
뉴턴이 만유인력의 법칙을 설명할 때 행성의 속도와 가속도에 관심이 있어 시간에 따른 변화를 기술하기 위해 미분 개념을 제시했다고 하는데, 아니 ㅋㅋㅋ 진짜 사과 → 행성 → 개념 도출까지 이어지는 것은 일반적인 내 머리로 이해하기는 어려움.
* 어떤 미래로 나아가고 있는지? 미적분을 통한 예측
1) 우선 한계효용 균등의 법칙에 대하여 생각해보자.
재화나 서비스로부터 얻는 만족감을 효용이라고 함. 첫 번째 것이 가장 효용이 높고 계속될수록 점점 한계효용이 떨어지는 것을 설명하는 법칙.
수학에서는 변화를 ∆로 표시하나, 경제학에서는 M(Marginal.가장자리, 미미한 변화)로 표현하여 MU(한계효용), MC(한계비용), MP(한계수익)처럼 표현한다고 함.

음식을 먹을 때 배가 불러올수록 한계효용(미분)은 매번 감소하지만, 총 효용(적분)은 계속 증가.
평균효용 = '총 효용/전체 비용'으로 보통 음식을 선택할 때는 한계효용 보다 평균효용을 따른다고 함. 총 비용 대비 충분히 배부르고 만족한 수준, 가성비에 해당하는 결정을 내리는 것이라고 함.
→ 갑자기 뭔 소리야??
한계효용의 기울기(미분)를 통해 어떤 시점이 내게 가장 만족스러운 결과인지 알 수 있으니, 주식 투자에 활용해 보자는 것.
2) 미래를 예측하려면 변화의 방향을 읽어야 함. 시간이 지남에 따라 증감이 바뀌고, 증감률도 바뀜.
밸류에이션이 끝난 기업에 진입할 수 있는 것은 앞으로 더 좋아질 거라고 생각하거나, 더 나빠질 곳은 없다고 생각이 들어서임.
주가가 상승한다면, 언제, 얼마큼의 기울기로 변화할지 정확히 예측할 수는 없음. 변화의 기울기는 매 시점 바뀌기 때문에 일단위로 짧게 끊어(미분) 선형적으로 조금씩 전진하는 '전진법(미분방정식 해석 방법)'으로 접근해야 함.
3) 가속화, 안정화 원리.
한국 증시에서는 이전 페이즈의 주도주가 다음 페이즈에서 조정을 받는 경향을 보이는데, 결국 주가를 상승시키는(가속화) 수급은 주가 과열로 하락 리스크가 커진 시점에서 '로우 리스크 하이리턴'을 찾아 이동하게 되며 주가를 하락시키는(안정화) 이탈이 나오게 됨.
4) 플로와 스톡.
기업분석에서 내가 가장 중요하게 보는 것은 현금흐름인데, 현금흐름 상태와 변화의 이유를 알아보면 방향성을 어느 정도 예측할 수 있기 때문임.
현금흐름처럼 계속 흘러가는 양을 플로(Flow, 유량)라고 하고,
자산처럼 축적되어 있는 양을 스톡(Stock, 저량)이라고 함.
효성중공업이 수소경제 인프라 확대를 위해 투자를 했을 때 해당 투자는 플로이고, 연 단위 사업보고서에 투자 비용, 유형자산 증감 등을 반영하여 나오는 재무제표상 자산총액은 스톡임.
5) 단타(미분)와 장타(적분).
단타는 보통 하루 단위로 매매하는 차익거래를 말함. 더 짧게 하는 스캘핑(분 or 초 단위)과 더 길게 하는 스윙(1일 이상 ~ 1달)도 있음.
차트만 이용한 단타는 수학적으로 미분을 이용한? 투자라고 볼 수 도 있음. 예상되는 주가변동률이 + 면 매수, - 면 매도하는 것. 이전 시간의 변화율을 연장하여 다음 시간에도 동일한 변화율이 유지될 것으로 가정하고 접근하는 것임.
즉 단시간의 주가 변동에 투자하는 미분 투자로 볼 수 있음.
하지만, 차트에 대한 분석은 항상 사후에 이루어지기 때문에, 사후확증편향에 빠지기 쉬움. 그래서 보통은 차트로만 주식 거래를 하기보다, 보조지표로 사용하며, 여기에 기업의 변화, 스케줄링, 수급, 공매도 등 다양한 요소들을 고려해야 승률을 높일 수 있음.
장타는 적어도 1년 이상 단위로 매매하는 차익거래를 말함.
주가 등락에 따라 쌀 때는 많이 사고, 비쌀 때는 적게 사서 매입 단가를 평균화(코스트 애버리징) 하는 방식. 주가 변동이 연속적이거나 미분 가능하지 않아도 적분은 주가 변동을 누적하면서 평준화하는 역할을 함.
즉 장기간의 평균 주가에 투자하는 적분 투자로 볼 수 있음.
마음 편하게 안정적으로 투자할 수 있다는 점에서 투자를 부업으로 하는 직장인들에게 권장되는 방식인데, 이론상은 훌륭하나 한국증시에서는 여러 가지 리스크가 있음.
미국 증시의 경우 국가에서 증시 안정화에 최선을 다하여 S&P500만 보더라도 꾸준히 우상향 하는 모습을 찾아볼 수 있음.
하지만, 한국 증시를 보면 외국인 ATM이라는 말이 있듯이
ㄱ, '파생시장' 포지션에 따라 기업의 펀더멘탈과 무관하게 주가가 움직이며,
ㄴ. 시장조성자(LP) 권한을 부여받은 금투, 외국인의 공매도(정보를 주가에 반영한다는 취지로 만들어진) 시스템의 불투명화 및 편향된 혜택(상환일수, 담보비율 등)
ㄷ. 시총 상위 기업들이 대부분 제조업으로 싸이클(시크리컬) 이슈로 피크아웃이라며 공매도 칠 명분을 만들어 줌
위의 사항을 고려했을 때, 거대자본(외국인, 기관)을 상대로 투자하는 개인들 입장에서 장투는 매력적인 선택지로 느껴지기 어려운 상황임.
6) 수요곡선과 가격탄력성.
불안정한 한국 증시에서 주로 미분투자(단타)를 하는 개인들은 펀더멘탈과 상관없이 급등하는 종목을 따라가는 경우가 많은데,
이 경우를 가격에 따른 수요량의 변화를 나타낸 수요곡선으로 생각해 보자.

수요곡선의 기울기는 변화의 정도를 보여줌. 가격이 변할 때 수요량이 얼마나 민감하게 변하는지를 나타내는 지표로 '가격탄력성'이라고 말함. 가격탄력성이 높으면 민감하게 변하고, 낮으면 그 반대임.
급등 종목은 PER 50배~100배가 되던 개인들은 상관하지 않으며, 비 이성적인 내러티브의 지배로 수요는 계속 상승하게 됨. 대선 이후 급등 랠리를 이어갔던 안랩의 경우에도 가격탄력성이 낮아 수요가 둔화되지 않았고, 몇 거래일 간 급등을 지속할 수 있었음. 하지만 결국 평범한 개미들의 무덤으로 스마트머니(기관계 투자자)들만 이익을 보고 나왔음.
<나의 생각>
1) 위에서 살펴본 한계효용 균등의 법칙에 따라 나도 의사결정을 함.
더 낮은 리스크로 높은 이익을 가져다줄 것으로 보이는 종목으로 옮겨가는 것, 퇴근 후 주식 공부에 사용하는 3시간을 어떻게 배분할지 결정하는 기준 등 모두 한계효용이 가장 높을 것으로 생각되는 행동을 하는 것임.
2) 매일 보유 기업을 팔로우업(수급, 차트, 공매도, 주담통화 등) 하는 이유는 주가(변화의 기울기)가 매 시점 바뀌기 때문인데, 먼 미래에 어떻게 변할지 아무도 모르지만, 전진법(미분방정식 해석방법)으로 짧게 끊어 선형적으로 조금씩 접근하는 거라고 생각할 수 있겠다. 나 잘하고 있네 생각이 들었음.
3) 그래서 어떻게 할 것인가?
→ 블랙스완(전쟁, 횡령 등)을 피할 수 없기에 지금처럼 분산하면서 투자를 할 것.
→ 넘버스에 매몰되지 않고, 가격탄력성이 낮은 = 강력한 내러티브를 가진 주도기업에 점진법을 활용한 투자 전략으로 접근하여 시장에서 소외되지 않을 것.
→ 내 성향상 장투? 우리 효중이 정도는 연단위로 끌고 갈 수 있겠지만 위에서 살펴본 코스트 애버리징 방식이 아닌, 여러 지표를 보고 고점에 팔고 저점에 사서 계속 이익 내는 방식으로 끌고갈 생각.
4) 요즘 느끼는 건, 사실 열심히 하는 사람만 더 열심히 하는 것 같음. 자신에 대한 믿음과 확신으로 꾸준하게 해 나가면 되는데, 계속 성장동력을 찾기 위해 새로운 책을 읽고 교육을 듣고 하는 것 같음.
핵심은 꾸준함, 리스크 관리(확률 컨트롤), 밸런스(오래 하기 위해)인 것 같음.
* 포스팅은 단순 공부용입니다.
* 정보가 편향될 수 있습니다.
* 투자의 책임은 투자자 본인에게 있습니다.
* 투자연구는 저의 역량강화에 초점이 맞춰져 있어 일반적으로 적용되지 않을 수 있으며, 단기 수익률과 무관할 수 있습니다.
728x90
반응형
'투자 연구 > ♥투자관련생각들' 카테고리의 다른 글
| 투자연구 분석 자문자답. 리스크관리와 나의 투자방향성(철학) 점검. (0) | 2022.05.05 |
|---|---|
| 투자연구 분석 자문자답. 게임 속 의사결정, 주식투자와 상관성 높아. (0) | 2022.04.24 |
| 투자연구 분석 자문자답. 눈으로 보는 세상. 뇌로 보는 세상. 냉철한 투자란? (0) | 2022.04.11 |
| 투자연구 분석 자문자답. 사이코패스와 주식투자. 내 안의 광기를 투자에 적용해보자. (0) | 2022.04.03 |
| 투자연구 분석 자문자답. 투자자로서 선택, 상대적 행복, 방향성. (0) | 2022.03.26 |
댓글
250x250
- Total
- Today
- Yesterday
링크